2010年
Versatile anion–π interactions between halides and a conformationally rigid bis(tetraoxacalix[2]arene[2]triazine) cage and their directing effect on molecular assembly
De-Xian Wang,* Qi-Qiang Wang, Yuchun Han, Yilin Wang, Zhi-Tang Huang, Mei-Xiang Wang* Chem. Eur. J. 2010, 16, 13053-13057.

Synthesis of diverse N,O-bridged calix[1]arene[4]pyridine-C60 dyads and triads and formation of intramolecular self-inclusion complexes
Jin-Cheng Wu, De-Xian Wang,* Zhi-Tang Huang, Mei-Xiang Wang* J. Org. Chem. 2010, 75, 8604-8614.

Synthesis and highly selective bromination of azacalix[4]pyrimidine macrocycles
Li-Xia Wang, De-Xian Wang,* Zhi-Tang Huang, Mei-Xiang Wang* J. Org. Chem. 2010, 75, 741-747.

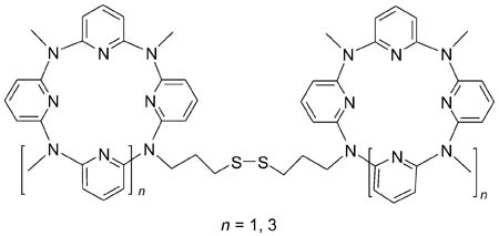
Synthesis of bisazacalix[n]pyridines and their complexation with C60 and C70
Zhang Enxuan, Wang Dexian,* Huang Zhitang, Wang Meixiang* Chin. J. Chem. 2010, 28, 1513-1523.

Synthesis, structure and molecular recognition of functionalized tetraoxacalix[2]arene[2]triazines
Qi-Qiang Wang, De-Xian Wang,* Hai-Bo Yang, Zhi-Tang Huang, Mei-Xiang Wang* Chem. Eur. J. 2010, 16, 7265-7275.

Highly efficient and expedient synthesis of 5-Hydoxy-1H-pyrrol-2-(5H)-ones from FeCl3-catalyzed tandem intramolecular enaminic addition of tertiary enamides to ketones and 1,3-hydroxy rearrangement
Luo Yang, Chuan-Hu Lei, De-Xian Wang, Zhi-Tang Huang, Mei-Xiang Wang* Org. Lett. 2010, 12, 3918-3921.

Synthesis and structural characterization of different topological coordination polymers based on tunable Cu4Br4-mIm secondary building units and macrocyclic azacalixaromatics
Li-Xia Wang, Liang Zhao,* De-Xian Wang, Mei-Xiang Wang* J. Solid State Chem. 2010, 183, 3010-3016.

Highly efficient and enantioselective biotransformations of β-lactam carbonitriles and carboxamides and their synthetic applications
Dong-Hui Leng, De-Xian Wang, Zhi-Tang Huang, Mei-Xiang Wang* Org. Biomol. Chem. 2010, 8, 4736-4743.

含三元环腈的生物转化反应与应用
王德先, 王梅祥* 化学进展 2010, 22, 1397-1402.
Synthesis, structure, and functionalization of homo heterocalix[2]arene[2]triazines: Versatile conformation and cavity structures regulated by the bridging elements
Yin Chen, De-Xian Wang, Zhi-Tang Huang, Mei-Xiang Wang* J. Org. Chem. 2010, 75, 3786-3796.

Study on amino amides and enzyme kinetics of L-asparaginase by MCE
Juan Qiao, Li Qi,* Huimin Ma, Yi Chen, Meixiang Wang, Dexian Wang Electrophoresis 2010, 31, 1565-1571.